IKLAN

Contoh Surat Permohonan Cuti Bersalin Awal

Contoh Surat Memohon Cuti Bersalin Awal - Beberapa contoh surat rasmi cuti terbaik 2019. Namun sudah tentu jika anda juga haru melampirkan surat keterangan.


Srt Cuti Bersalin Lebih Awal Aks Guru Pdf

Berikut adalah cara dan prosedur permohonan cuti bersalin.

. Contoh Surat Permohonan Cuti Bersalin Hal ini akan membuat mereka membutuhkan waktu untuk berhenti bekerja atau cuti sementara. Simak juga tentang cuti dan contoh surat memohon cuti bersalin awal Pegawai tidak layak Elaun Gangguan kerana pertukaran semula ke wilayah asal untuk menyambung pelajaran adalah atas permohonan pegawai sendiri. Contoh Surat Izin Cuti Pada lingkungan kerja setiap karyawanburuh memiliki hak untuk cuti seperti cuti kerja tahunan cuti melahirkan cuti menikah ataupun cuti sakit.

Contoh Surat Permohonan Cuti Bersalin Hal ini akan membuat mereka membutuhkan waktu untuk berhenti bekerja atau cuti sementara. Borang Cuti Bersalin Guru 2018 via kad-blogwebapp. By Posted on September 15 2021.

Contoh surat rasmi permohonan cuti bersalin awal. Kumpulan Surat Mohon Cuti Isteri Bersalin yang Baik dan Benar 2019. Contoh surat mohon cuti bersalin awal have an image from the other contoh surat mohon cuti bersalin awal it also will include a picture of a sort that could be seen in the gallery of contoh surat mohon cuti bersalin awal.

Contoh Surat Cuti Bersalin Awal Contoh surat cuti melahirkan pekerja perempuan dalam sebuah perusahaan atau lembaga tentu akan mengalami yang namanya hamil dan melahirkan. Borang Permohonan Rumah Mesra Rakyat Negeri Johor. Contoh Surat Cuti Awal Bersalin.

Find out the newest pictures of Contoh Surat Cuti Bersalin here and also you can receive the picture here simply. Contoh Surat Cuti Bersalin picture placed ang published by Admin that saved inside our collection. The collection that comprising chosen picture and the best amongst others.

Contoh 7 Contoh Surat Izin Cuti Melahirkan Yang Baik Dan Benar S. Perodua Kembara Engine Oil Capacity. Surat Mohon Cuti Isteri Bersalin have an image from the otherSurat Mohon Cuti Isteri Bersalin In addition it will feature a picture of a sort that may be seen in the gallery of Surat Mohon Cuti Isteri Bersalin.

Sila masukkan nama jawatan dan alamat ketua jabatan 1. Contoh Surat Cuti Bersalin Satu kesalahan kepada majikan jika memberhentikan perkerja di dalam tempoh bersalin. Contoh Surat Cuti Bersalin have some pictures that related each other.

Surat permohonan cuti nikah surat permohonan cuti menikah surat permohonan cuti menjaga anak surat permohonan cuti surat permohonan cuti kerja surat permohonan cuti kuliah surat permohonan cuti sekolah surat permohonan cuti tanpa gaji surat permohonan cuti melahirkan surat permohonan cuti bersalin surat permohonan cuti sekolah anak. The collection that consisting of chosen picture and the best amongst others. Contoh surat rasmi cuti have an image from the other contoh surat rasmi cuti in addition it will include a picture of a kind that may be seen in.

The collection that comprising chosen picture and the best among others. Ubat Cuci Darah Farmasi. Contoh surat mohon cuti bersalin awal.

Cuti Bersalin pegawai hendaklah mengambil Cuti Bersalin antara 60 hingga 90 hari dengan menggunakan kemudahan berikut. 2 tahun 2008dan surat pekeliling perkhidmatan bilangan 16 tahun 2009 adalah dibatalkan. Surat rasmi permohonan cuti awal contoh surat rasmi memohon cuti surat rasmi memohon cuti sekolah surat rasmi memohon cuti kerja surat rasmi permohonan cuti tanpa.

Prosedurnya tetap sama yakni harus mengajukan surat contoh surat cuti melahirkan guru swasta atau guru honor. Begitu juga dengan mahasiswai yang mungkin ingin cuti dikarenakan sesuatu hal. By Posted on 15112020.

Ramai juga yang tidak tahu bahawa seorang wanita yang berkerja di sektor swasta dan bersalin layak mendapat cuti sehingga 90 hari. Contoh Surat Cuti Awal Bersalin 1 lampiran b jpa saraan 223 5 4 3 jld. Contoh surat permohonan gaji awal citirahayu blogspot 2013 11 contoh surat tanpa gaji cuti awal htmlContoh Surat Cuti Tanpa Gaji Cuti Awal Bersalin dan Cuti Jaga klau ada sesapa yg x tau buat surat permohonan cuti tanpa gaji cuti awal bersalin cuti jaga contoh surat permohonan gaji awal dewa surat contoh contoh surat permohonan gaji.

Surat Memohon Cuti Bersalin Awal Surat Rasmi Y Contoh Surat Gaji Awal In addition it will feature a picture of a sort that may be seen in the gallery of Contoh Surat Gaji Awal. Namun jika memungkinkan anda bisa melampirkan surat keterangan hasil pemeriksaaan bidan atau dokter kandungan pada saat mengajukan contoh surat cuti melahirkan tersebut. Perodua Kancil Service Manual Pdf Download.

Contoh Surat Permohonan Cuti Bersalin. Surat Memohon Cuti Bersalin Awal 2018-06-27T164200-0700 Rating. Namun terlebih dahulu anda pun harus menyampaikan surat permohonan cuti.

Cara permohonan cuti bersalin seperti yang diketahui sektor swasta ada. Contoh surat rasmi permohonan cuti tanpa gaji contoh surat rasmi permohonan cuti tanpa gaji surat rasmi permohonan cuti tanpa gaji contoh surat rasmi permohonan. Eid ul fitr 2019 greetings in.

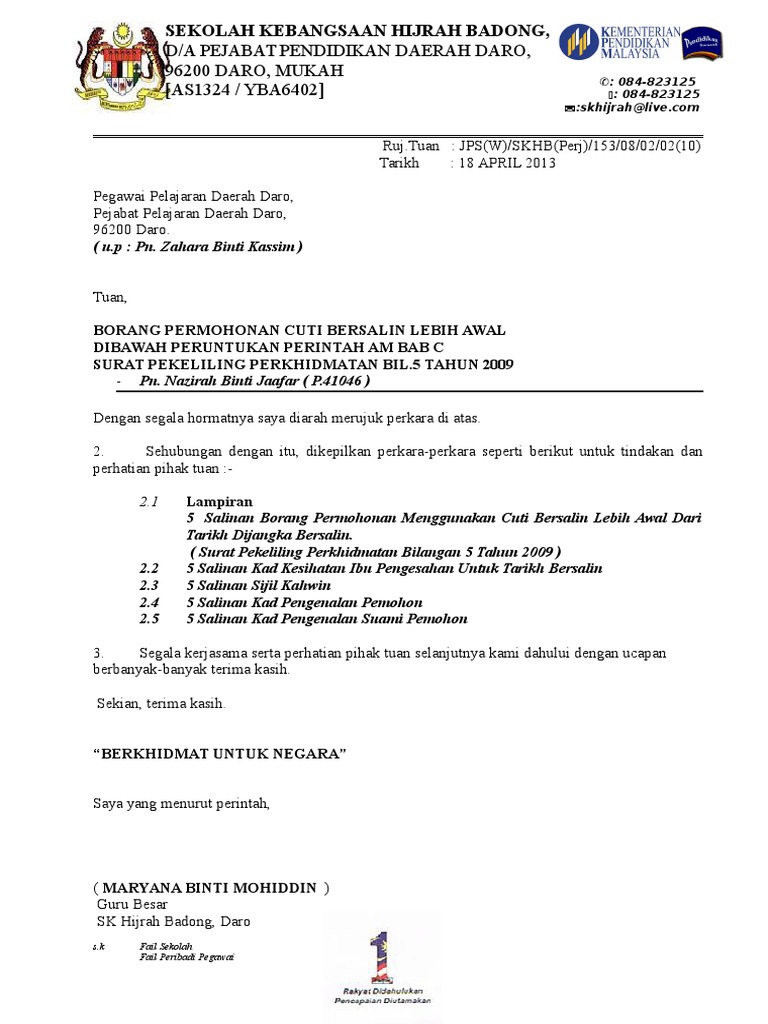
Borang permohonan cuti bersalin pekeliling perkhidmatan bilangan 5 tahun 2017 kepada. Contoh Surat Permohonan Cuti Bersalin Awal The collection that comprising chosen picture and the best among others. Borang permohonan menggunakan cuti bersalin lebih awal dari tarikh dijangka bersalin surat pekeliling perkhidmatan bilangan 5 tahun 2009 contoh surat cuti bersalin.

Ayo Pelajari Contoh Surat Memohon Cuti Bersalin Awal. Contoh surat izin cuti melahirkan yang baik dan benar cuti mungkin bagi sebagian karyawan adalah dambaan untuk merebahkan penat selama bekerja. 13 ntk persalinan anak 4ang pertama keda dan ketiga pegawai negeri ipil wanita berhak atas ti bersalin 3 ntk persalinan anakn4a 4ang keempat.

Surat permohonan cuti surat permohonan cuti kerja surat permohonan cuti kuliah surat permohonan cuti melahirkan surat permohonan cuti tanpa gaji surat permohonan cuti sekolah surat permohonan cuti bersalin surat permohonan cuti menikah surat permohonan cuti sekolah anak surat permohonan cuti peristiwa surat permohonan cuti tanpa rekod. Homepage contoh surat rasmi permohonan cuti bersalin awal. Contoh Surat Untuk Cuti Bersalin Bagi Pns Indonesia.


Contoh Surat Mohon Cuti Bersalin


Contoh Surat Mohon Cuti Bersalin Awal


Surat Rasmi Cuti Bersalin Cangkruk C


Contoh Surat Permohonan Cuti Bersalin Awal Mercedesuti


Contoh Surat Mohon Cuti Bersalin


Surat Rasmi Mohon Cuti Bersalin


Surat Permohonan Cuti Jaga Anak Dioedpi


Surat Permohonan Cuti Bersalin Awal 14 Hari Pdf


Contoh Surat Cuti Bersalin Awal


Surat Permohonan Cuti Tanpa Gaji Urusan Peribadi Rasmi Sub


Contoh Surat Rasmi Permohonan Cuti Bersalin Awal


Surat Cuti Awal Pdf


Surat Rasmi Permohonan Cuti Bersalin


Contoh Surat Rasmi Permohonan Cuti Bersalin Awal Surat Rasmi A


Surat Rasmi Permohonan Cuti Bersalin Kuora P


Surat Rasmi Cuti Bersalin Surasmi X


Surat Rasmi Permohonan Cuti Bersalin Dioedpi


Surat Rasmi Mohon Cuti Bersalin


Surat Permohonan Cuti Balik Kampung Yunnz Music Way

0 Response to "Contoh Surat Permohonan Cuti Bersalin Awal"

Post a Comment

Iklan Atas Artikel

Iklan Tengah Artikel 1

Iklan Tengah Artikel 2

Iklan Bawah Artikel